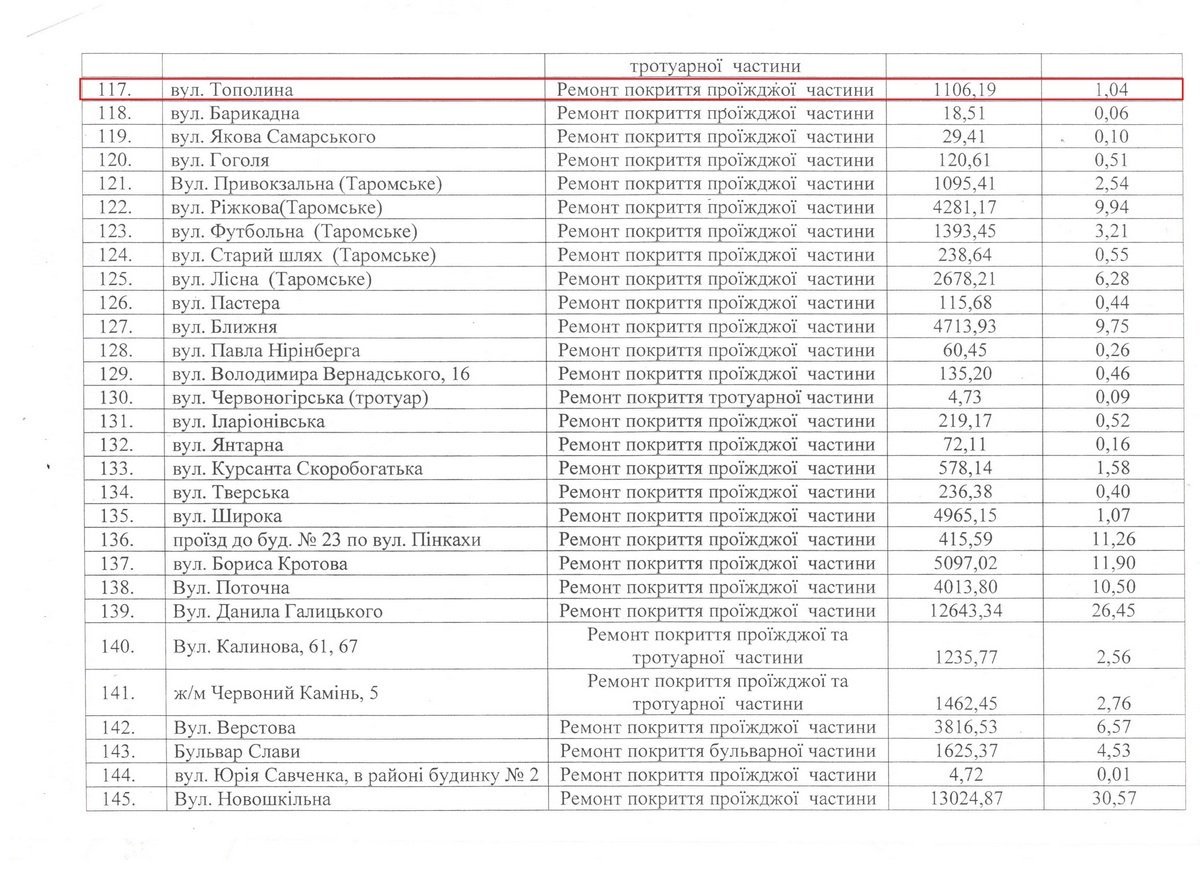
В 2017 году городская власть активно занялась ремонтом дорог, тротуаров и мостов. Согласно документам, новое дорожное покрытие появилось на 281 улице города. В этот список вошла и улица Тополиная, расположенная на жилмассиве Тополь-2.
Согласно опубликованным данным, ремонт проезжей части обошелся городу в 1 миллион 106 тысяч 190 гривен, за которые отремонтировали 1040 м². Информатор решил проверить, в каком состоянии находится дорога сейчас.

Улица Тополиная, которая находится рядом с поселком Опытный, расположена параллельно улице Паникахи. Тополиная ведет к нескольким гаражным кооперативам. Здесь разместились жилые дома, две средние школы — № 53 и № 78, детский санаторий № 1 и мелкие предприятия. В основном по улице ездят легковые автомобили, поэтому особой нагрузки на асфальт нет.
Мы увидели, что покрытие на улице Тополиной хорошее. Заметно, что на участке проводился качественный ремонт, кроме этого, отреставрированы бордюры и ливневки, в завидном состоянии тротуары. В целом дорога на улице - мечта местных детей, которые катаются на роликах и велосипедах. Но иногда идеальную картину портят ямы, которые напоминают провалившийся на пустом месте асфальт. Такие внезапные "провалы" поджидают водителей в основном в конце улицы.
Периодически Информатор будет проверять по одной отремонтированной дороге в разных районах города и рассказывать о результатах. Помимо этого, повлиять на ситуацию может каждый из вас. Для этого необходимо оставить соответствующую заявку на горячей линии городского головы. Телефоны: 732-12-12, (095) 732-12-12.
Ранее мы показывали, в каком состоянии находятся дороги на улице Маршала Малиновского, а также на улицах Автодоровской, Пастера и Данила Галицкого. Помимо этого мы проверяли, насколько качественный ремонт проезжей части на Успенской площади.









Мария Голикова
Фото: Денис Карпенко