В 2017-м году местная власть активно взялась за ремонт дорог, тротуаров и мостов. Согласно документам, новое дорожное покрытие получили 281 улица города. В этот список вошла и улица Якова Самарского, расположенная в самом центре Днепра.
Перечень проведенных ремонтных работ "добыли" в Zabeba.li, отправив запрос в городской совет Днепра. Посмотрев на список из сотни наименований улиц и баснословную сумму потраченных на ремонт денег, сложилось впечатление, что водителям города можно навсегда забыть про погнутые покрышки, пробитые колеса и разбитую подвеску авто.
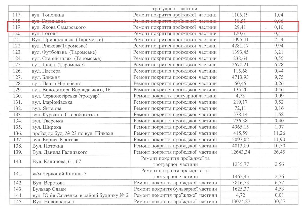
Информатор решил выборочно проверить одну из отремонтированных дорог и отправился на улицу Якова Самарского. Согласно опубликованным данным, на ремонт этой дороги в течение года потратили 29 тысяч 410 гривен, за которые отремонтировали 10 квадратных метров покрытия.

Находясь по адресу, создается впечатление, что дорога пострадала от четырехдневной авиационной бомбардировки. Вилять водителям между ямами в поисках ровного асфальта нет смысла, поскольку они буквально разбросаны по проезжей части. Пешеходная "зебра" доживает свои последние часы, а в местах трещин вскоре появятся новые выбоины. В целом, следов ремонта не заметно, хотя, по идее, - он был.
Следует отметить, что периодически Информатор будет проверять по одной отремонтированной дороге в разных районах города и рассказывать вам о результатах. Надеемся, что в других местах ремонтные работы выполнены более качественно.
Напомним, ранее мы показывали, как выглядит отремонтированная в 2017-м Успенская площадь. Согласно опубликованным данным, на ремонт этой дороги в течение года потратили 25 330 тысяч гривен, за которые отремонтировали 60 квадратных метров покрытия. Также Информатор провел ревизию дороги на улице Баррикадной, которая обошлась в 18 тысяч 510 гривен.






Мария Чалая
Фото: Сергей Бумер