Комунальне підприємство “Дніпротранссервіс”, яке підпорядковується міськраді Дніпра, оголосила про нові закупівлі. За понад 1,3 мільйона гривень планують витратити з бюджету на миття автобусів. Проведення закупівель оголосили 23 грудня. Кінцевий строк подання пропозицій - 31 грудня 2025 року.
Станом на 24 грудня, ще відсутні пропозиції від потенційних учасників торгів. Про це повідомляє Інформатор із посиланням на тендерні закупівлі на Prozorro.

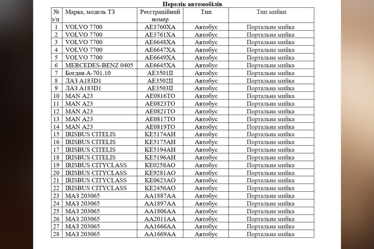
У тендерній документації зазначено, що до 31 грудня 2026 року, переможець має здійснювати наступні види робіт (загалом це 1867 послуг):



Нагадаємо, що у Дніпрі на Соборній площі під час війни висадили понад 20 саджанців дубів. Писали ще, як посадовці міськради привласнили 3,3 мільйона гривень на ремонтах після обстрілів. Ще читайте, що у Дніпрі з бюджету планують витратити майже 180 мільйонів гривень на підмітання вулиць.